วิทยาศาสตร์ระดับประถม สารบัญ


ทั้งหมด 20 ข้อ

1
1

การย่อยอาหารเริ่มต้นที่อวัยวะใดและสิ้นสุดที่อวัยวะใด

2
2

ระบบทางเดินอาหารเริ่มต้นและสิ้นสุดที่ใด

3
3

ข้อใดจัดเป็นการย่อยเชิงกล

4
4

อวัยวะใดในระบบทางเดินอาหารที่ไม่มีการย่อยเชิงเคมี

5
5

อวัยวะใดในระบบทางเดินอาหารที่ทำหน้าที่ย่อยอาหารและดูดซึมอาหาร

6
6

ในน้ำลายคนจะมีเอนไซม์ใด และทำหน้าที่ย่อยอาหารประเภทใด







7
7

ข้อใดคือหน้าที่ของน้ำดี

8
8

ข้อใดต่อไปนี้จับคู่ได้ไม่ถูกต้อง

9
9

อาหารจำพวกโปรตีนถูกย่อยเชิงเคมีครั้งแรกที่อวัยวะใด

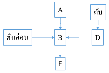
พิจารณาแผนภาพ แสดงอวัยวะบางส่วนที่เกี่ยวข้องกับการย่อยอาหาร แล้วตอบคำถามข้อ 10-13

10
10

จากแผนภาพข้อใดคือ A, B และ F ตามลำดับ

11
11

D คือ ข้อใด

12
12

อวัยวะใดที่ทำงานได้ดีในสภาวะที่เป็นด่าง







13
13

อวัยวะใดที่ดูดซีมน้ำและแร่ธาตุ

14
14

ข้อมูลเกี่ยวกับการย่อยอาหาร

อวัยวะอาหารสารอาหาร
Aโปรตีนเปปไทด์
ปากแป้งB
Cไขมันกรดไขมัน

ข้อใดกล่าวถูกต้อง

ABC
กระเพาะอาหาร กลูโคส ตับอ่อน
ลำไส้เล็ก มอลโทส ลำไส้ใหญ่
กระเพาะอาหาร มอลโทส ลำไส้เล็ก
กระเพาะอาหาร กลูโคส ลำไส้เล็ก
15
15

ถ้าตัดถุงน้ำดีทิ้ง ควรจะหลีกเลี่ยงอาหารประเภทใด

16
16

อวัยวะใดที่มีการย่อยเชิงกล

17
17

อวัยวะในระบบย่อยอาหารประกอบด้วย
1: ปาก
2: หลอดอาหาร
3: กระเพาะอาหาร
4: ลำไส้เล็ก
5: ลำไส้ใหญ่
อาหารที่เรารับประทานจะไม่ถูกย่อยในอวัยวะใด

18
18

อวัยวะในระบบย่อยอาหารประกอบด้วย
1: ปาก
2: หลอดอาหาร
3: กระเพาะอาหาร
4: ลำไส้เล็ก
5: ลำไส้ใหญ่
อวัยะใดในระบบย่อยอาหารที่มีการย่อยเชิงเคมี







19
19

ข้อใดกล่าวถึงตับ ไม่ถูกต้อง

20
20
1. ไขมันถูกย่อยทางเคมีครั้งแรกที่ลำไส้เล็ก
2. น้ำลายในปากจะย่อยแป้งให้เป็นกลูโคส
3. โปรตีนย่อยทางเคมีครั้งแรกที่กระเพาะอาหาร
4. วิตามินถูกย่อยที่ลำไส้เล็ก
ข้อใดกล่าวถูกต้อง



















--